データセット Optical Spectra of Phthalocyanines and Related Compounds Chapter-2

ISAGO, Hiroaki ORCID

コレクション

引用
ISAGO, Hiroaki. Optical Spectra of Phthalocyanines and Related Compounds Chapter-2. https://doi.org/10.48505/nims.3053

説明:

(abstract)

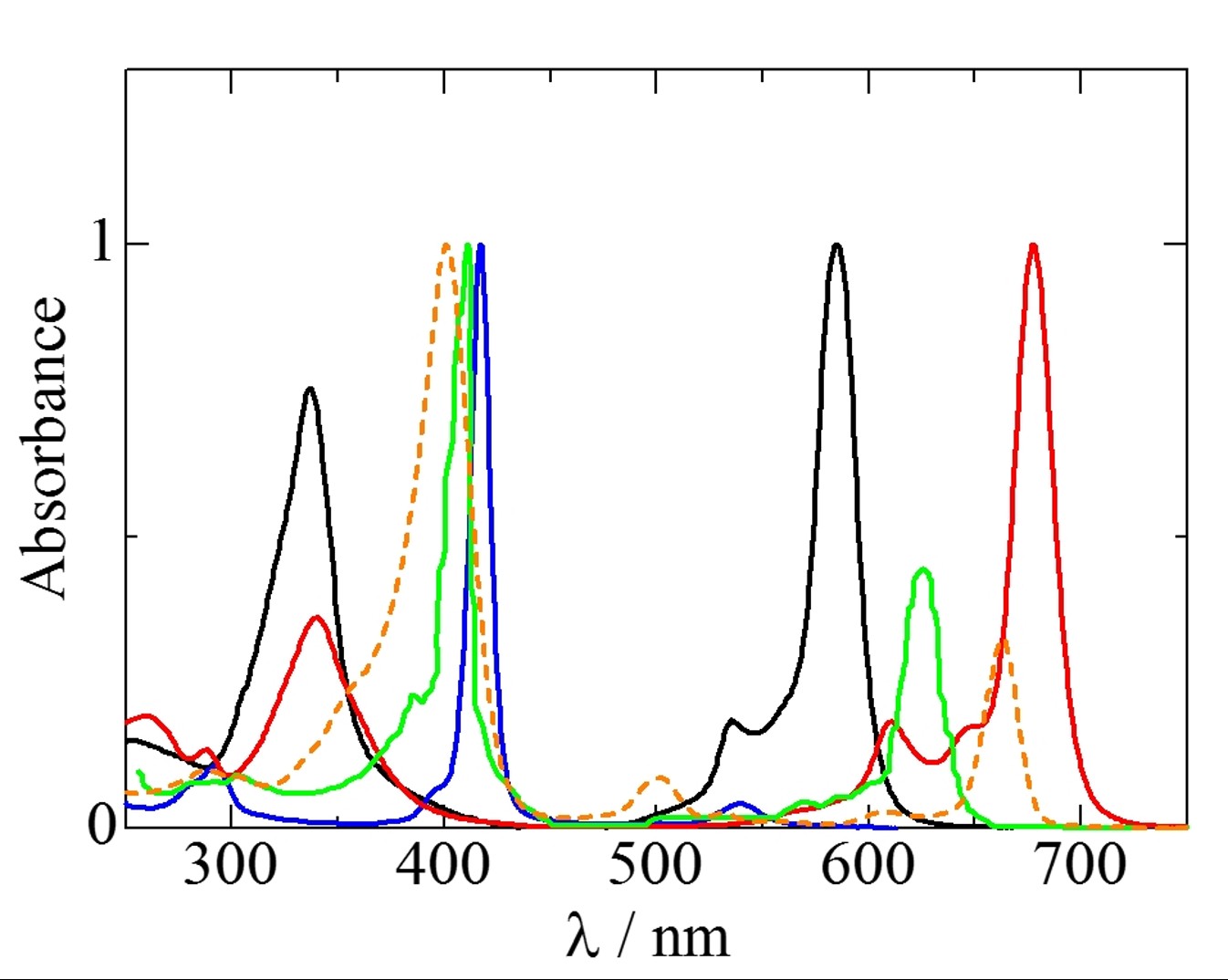
Prototypical optical spectra of phthalocyanines and their theoretical background.

This works is licensed under Creative Commons Attribution-NonCommercial-NoDerivatives (CC BY-NC-ND) 4.0 International with CC Plus (CC+) license. The CC+ waives the NoDerivatives requirement for simple translations of text in the work, provided that the other requirements are met.

データの性質:

権利情報:

キーワード: Theoretical background, Phthalocyanine

刊行年月日: 2021-06-18

出版者:

掲載誌:

研究助成金:

原稿種別: 査読前原稿 (Author's original)

MDR DOI: https://doi.org/10.48505/nims.3053

公開URL: http://imeji.nims.go.jp/imeji/collection/16/browse?q=

関連資料:

その他の識別子:

連絡先:

更新時刻: 2022-10-03 01:32:11 +0900

MDRでの公開時刻: 2021-10-13 22:30:04 +0900

Measurement method / 計測法

Description / 説明 :

Category / カテゴリ :

Category description / カテゴリの説明 :

Analysis field / 解析分野 :

Analysis field description / 解析分野の説明 :

Measurement environment / 計測環境 :

Standarized procedure / 標準手順 :

Measured at / 計測時刻 :

ファイル名 サイズ
ファイル名 Fig.2-3.tif
image/jpeg
サイズ 110KB 詳細
ファイル名 Fig.2-9.tif
image/jpeg
サイズ 53.3KB 詳細
ファイル名 Fig.2-8.tif
image/jpeg
サイズ 58.2KB 詳細
ファイル名 Fig.2-5.tif
image/jpeg
サイズ 60.3KB 詳細
ファイル名 Fig.2-4.tif
image/jpeg
サイズ 77.3KB 詳細
ファイル名 Fig.2-6.tif
image/jpeg
サイズ 112KB 詳細
ファイル名 Fig.2-2a.tif
image/jpeg
サイズ 134KB 詳細
ファイル名 Fig.2-1a.tif (サムネイル)
image/tiff
サイズ 101KB 詳細
ファイル名 Fig.2-12.tif
image/jpeg
サイズ 177KB 詳細