Dataset First-principles lattice thermal conductivity calculation for Ba2B2O5 / P2_1/c (14) / materials id 771158

Atsushi Togo SAMURAI ORCID (Center for Basic Research on Materials, National Institute for Materials ScienceROR)

Collection

MDR lattice thermal conductivity calculation database

Citation
Atsushi Togo. First-principles lattice thermal conductivity calculation for Ba2B2O5 / P2_1/c (14) / materials id 771158.

Description:

(abstract)

Input data used to calculate the lattice thermal conductivities of
Ba2B2O5.

Description:

(abstract)

Initial geometry optimization of the conventional unit cell, standardized by
the spglib code, was performed using the VASP code with the PBEsol
exchange-correlation functional. Supercell forces and energies were
calculated using the VASP code, and these data were used to develop
polynomial machine learning potentials (MLPs) with the pypolymlp code. The
generated MLPs are stored in polymlp.yaml.xz. Parameters required for the
non-analytical term correction (Born effective charges and dielectric
constants) were calculated using the VASP code with the primitive cell.
These VASP results are provided in phonopy_training_dataset.yaml.xz, and the
VASP input configurations can be found in vasp-settings.tar.xz. The
primitive cell, unit cell, and supercell structures used for the VASP
calculations are also provided in phonopy_training_dataset.yaml.xz. The
internal atomic positions of the supercell were then optimized using the
pypolymlp code under symmetry constraints; the relaxed structure can be
found in phonopy_mlp_eval_fc2_dataset.yaml.xz (or
phono3py_mlp_eval_fc3_disp.yaml.xz). Second-order force constants (fc2) can
be calculated using the phonopy and symfc codes with the displacement–force
dataset evaluated by the pypolymlp code, which is stored in
phonopy_mlp_eval_fc2_dataset.yaml.xz. Third-order force constants (fc3) can
be calculated using the built-in finite difference approach in the phono3py
code with the displacement–force dataset stored in
phono3py_mlp_eval_fc3_disp.yaml.xz (displacements) and FORCES_FC3.xz
(forces). As an example, lattice thermal conductivities (LTCs) were
calculated using the phono3py code with fc2 and fc3, and the calculation log
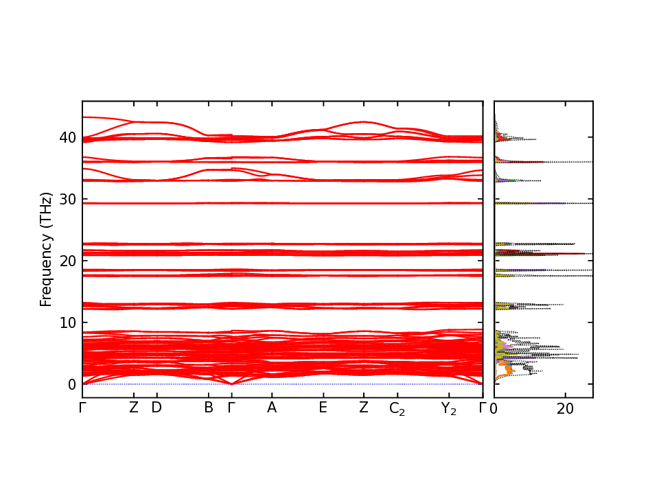
is provided in LTC-calc.log. The harmonic phonon band structure and density
of states are plotted in band_pdos.png. The band path was generated using
the SeeK-path code.

Description:

(abstract)

Input data used to calculate the lattice thermal conductivities of
Ba2B2O5.

Description:

(abstract)

Initial geometry optimization of the conventional unit cell, standardized by
the spglib code, was performed using the VASP code with the PBEsol
exchange-correlation functional. Supercell forces and energies were
calculated using the VASP code, and these data were used to develop
polynomial machine learning potentials (MLPs) with the pypolymlp code. The
generated MLPs are stored in polymlp.yaml.xz. Parameters required for the
non-analytical term correction (Born effective charges and dielectric
constants) were calculated using the VASP code with the primitive cell.
These VASP results are provided in phonopy_training_dataset.yaml.xz, and the
VASP input configurations can be found in vasp-settings.tar.xz. The
primitive cell, unit cell, and supercell structures used for the VASP
calculations are also provided in phonopy_training_dataset.yaml.xz. The
internal atomic positions of the supercell were then optimized using the
pypolymlp code under symmetry constraints; the relaxed structure can be
found in phonopy_mlp_eval_fc2_dataset.yaml.xz (or
phono3py_mlp_eval_fc3_disp.yaml.xz). Second-order force constants (fc2) can
be calculated using the phonopy and symfc codes with the displacement–force
dataset evaluated by the pypolymlp code, which is stored in
phonopy_mlp_eval_fc2_dataset.yaml.xz. Third-order force constants (fc3) can
be calculated using the built-in finite difference approach in the phono3py
code with the displacement–force dataset stored in
phono3py_mlp_eval_fc3_disp.yaml.xz (displacements) and FORCES_FC3.xz
(forces). As an example, lattice thermal conductivities (LTCs) were
calculated using the phono3py code with fc2 and fc3, and the calculation log
is provided in LTC-calc.log. The harmonic phonon band structure and density
of states are plotted in band_pdos.png. The band path was generated using
the SeeK-path code.

Data origin type: simulation

Rights:

Keyword: Lattice thermal conductivity, Ba2B2O5

Date published:

Publisher: NIMS

Journal:

Funding:

Manuscript type: Not a journal article

MDR DOI:

First published URL:

Related item:

Other identifier(s):

Contact agent: Atsushi Togo (National Institute for Materials Science) togo.atsushi@nims.go.jp

Updated at: 2026-01-24 13:47:29 +0900

Published on MDR: 2026-01-24 10:52:15 +0900

Specimen / 試料

Name / 名称 : Ba2B2O5

Description / 試料の説明 : Ba2B2O5

Material type / 試料種別 :

Material type description / 試料種別の説明 :

Identifier / 識別子 :

Chemical composition / 試料の化学組成

Specimen ID / 試料ID :

Description / 化学組成の説明 : Ba2B2O5

Category / カテゴリ :

Category description / カテゴリの説明 :

Chemical composition ID / 組成ID : Ba2B2O5

Structure for specimen / 試料の結晶構造

Description / 説明 : Ba2B2O5

Specimen ID / 試料ID :

Category / カテゴリ :

Category description / カテゴリの説明 : Ba2B2O5

Software / ソフトウェア

Name / 名称 : phono3py

Version / バージョン :

Description / 説明 :

Identifier / ソフトウェアID : https://github.com/phonopy/phono3py

Name / 名称 : phonopy

Version / バージョン :

Description / 説明 :

Identifier / ソフトウェアID : https://github.com/phonopy/phonopy

Name / 名称 : spglib

Version / バージョン :

Description / 説明 :

Identifier / ソフトウェアID : https://github.com/spglib/spglib

Name / 名称 : symfc

Version / バージョン :

Description / 説明 :

Identifier / ソフトウェアID : https://github.com/symfc/symfc

Name / 名称 : pypolymlp

Version / バージョン :

Description / 説明 :

Identifier / ソフトウェアID : https://github.com/sekocha/pypolymlp

Name / 名称 : VASP

Version / バージョン :

Description / 説明 :

Identifier / ソフトウェアID : https://www.vasp.at/

Name / 名称 : Seek-path

Version / バージョン :

Description / 説明 :

Identifier / ソフトウェアID : https://github.com/giovannipizzi/seekpath

Filename Size
Filename FORCES_FC3.xz
application/x-xz
Size 76 MB Detail
Filename LTC-calc.log
text/x-log
Size 496 KB Detail
Filename phono3py_mlp_eval_fc3_disp.yaml.xz
application/x-xz
Size 69 KB Detail
Filename phonopy_mlp_eval_fc2_dataset.yaml.xz
application/x-xz
Size 5.34 MB Detail
Filename phonopy_training_dataset.yaml.xz
application/x-xz
Size 1 MB Detail
Filename polymlp.yaml.xz
application/x-xz
Size 303 KB Detail
Filename vasp-settings.tar.xz
application/x-xz
Size 564 Bytes Detail
Filename band_pdos.png (Thumbnail)
image/png
Size 57.4 KB Detail