Atsushi Togo
(Center for Basic Research on Materials, National Institute for Materials Science
)
MDR lattice thermal conductivity calculation database
説明:
(abstract)Input data used to calculate the lattice thermal conductivities of
SrBNO.
説明:
(abstract)Initial geometry optimization of the conventional unit cell, standardized by
the spglib code, was performed using the VASP code with the PBEsol
exchange-correlation functional. Supercell forces and energies were
calculated using the VASP code, and these data were used to develop
polynomial machine learning potentials (MLPs) with the pypolymlp code. The
generated MLPs are stored in polymlp.yaml.xz. Parameters required for the
non-analytical term correction (Born effective charges and dielectric
constants) were calculated using the VASP code with the primitive cell.
These VASP results are provided in phonopy_training_dataset.yaml.xz, and the
VASP input configurations can be found in vasp-settings.tar.xz. The
primitive cell, unit cell, and supercell structures used for the VASP
calculations are also provided in phonopy_training_dataset.yaml.xz. The
internal atomic positions of the supercell were then optimized using the
pypolymlp code under symmetry constraints; the relaxed structure can be
found in phonopy_mlp_eval_fc2_dataset.yaml.xz (or
phono3py_mlp_eval_fc3_disp.yaml.xz). Second-order force constants (fc2) can
be calculated using the phonopy and symfc codes with the displacement–force
dataset evaluated by the pypolymlp code, which is stored in
phonopy_mlp_eval_fc2_dataset.yaml.xz. Third-order force constants (fc3) can
be calculated using the built-in finite difference approach in the phono3py
code with the displacement–force dataset stored in
phono3py_mlp_eval_fc3_disp.yaml.xz (displacements) and FORCES_FC3.xz
(forces). As an example, lattice thermal conductivities (LTCs) were
calculated using the phono3py code with fc2 and fc3, and the calculation log
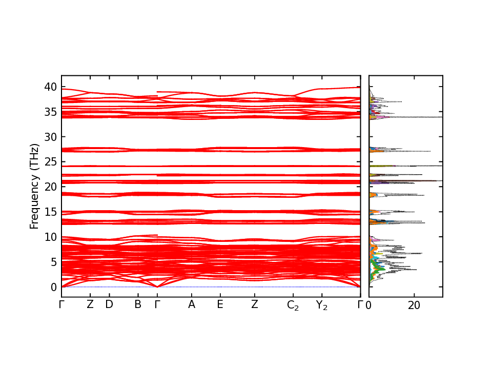
is provided in LTC-calc.log. The harmonic phonon band structure and density
of states are plotted in band_pdos.png. The band path was generated using
the SeeK-path code.
説明:
(abstract)Input data used to calculate the lattice thermal conductivities of
SrBNO.
説明:
(abstract)Initial geometry optimization of the conventional unit cell, standardized by
the spglib code, was performed using the VASP code with the PBEsol
exchange-correlation functional. Supercell forces and energies were
calculated using the VASP code, and these data were used to develop
polynomial machine learning potentials (MLPs) with the pypolymlp code. The
generated MLPs are stored in polymlp.yaml.xz. Parameters required for the
non-analytical term correction (Born effective charges and dielectric
constants) were calculated using the VASP code with the primitive cell.
These VASP results are provided in phonopy_training_dataset.yaml.xz, and the
VASP input configurations can be found in vasp-settings.tar.xz. The
primitive cell, unit cell, and supercell structures used for the VASP
calculations are also provided in phonopy_training_dataset.yaml.xz. The
internal atomic positions of the supercell were then optimized using the
pypolymlp code under symmetry constraints; the relaxed structure can be
found in phonopy_mlp_eval_fc2_dataset.yaml.xz (or
phono3py_mlp_eval_fc3_disp.yaml.xz). Second-order force constants (fc2) can
be calculated using the phonopy and symfc codes with the displacement–force
dataset evaluated by the pypolymlp code, which is stored in
phonopy_mlp_eval_fc2_dataset.yaml.xz. Third-order force constants (fc3) can
be calculated using the built-in finite difference approach in the phono3py
code with the displacement–force dataset stored in
phono3py_mlp_eval_fc3_disp.yaml.xz (displacements) and FORCES_FC3.xz
(forces). As an example, lattice thermal conductivities (LTCs) were
calculated using the phono3py code with fc2 and fc3, and the calculation log
is provided in LTC-calc.log. The harmonic phonon band structure and density
of states are plotted in band_pdos.png. The band path was generated using
the SeeK-path code.
データの性質: simulation
権利情報:
Creative Commons Attribution 4.0 International
キーワード: Lattice thermal conductivity, SrBNO
刊行年月日:
出版者: NIMS
掲載誌:
研究助成金:
原稿種別: 論文以外のデータ
MDR DOI:
公開URL:
関連資料:
その他の識別子:
連絡先: Atsushi Togo (National Institute for Materials Science) togo.atsushi@nims.go.jp
更新時刻: 2026-01-24 12:57:12 +0900
MDRでの公開時刻: 2026-01-24 10:53:27 +0900
Name / 名称 : SrBNO
Description / 試料の説明 : SrBNO
Material type / 試料種別 :
Material type description / 試料種別の説明 :
Identifier / 識別子 :
Specimen ID / 試料ID :
Description / 化学組成の説明 : SrBNO
Category / カテゴリ :
Category description / カテゴリの説明 :
Chemical composition ID / 組成ID : SrBNO
Description / 説明 : SrBNO
Specimen ID / 試料ID :
Category / カテゴリ :
Category description / カテゴリの説明 : SrBNO
Name / 名称 : phono3py
Version / バージョン :
Description / 説明 :
Identifier / ソフトウェアID : https://github.com/phonopy/phono3py
Name / 名称 : phonopy
Version / バージョン :
Description / 説明 :
Identifier / ソフトウェアID : https://github.com/phonopy/phonopy
Name / 名称 : spglib
Version / バージョン :
Description / 説明 :
Identifier / ソフトウェアID : https://github.com/spglib/spglib
Name / 名称 : symfc
Version / バージョン :
Description / 説明 :
Identifier / ソフトウェアID : https://github.com/symfc/symfc
Name / 名称 : pypolymlp
Version / バージョン :
Description / 説明 :
Identifier / ソフトウェアID : https://github.com/sekocha/pypolymlp
Name / 名称 : VASP
Version / バージョン :
Description / 説明 :
Identifier / ソフトウェアID : https://www.vasp.at/
Name / 名称 : Seek-path
Version / バージョン :
Description / 説明 :
Identifier / ソフトウェアID : https://github.com/giovannipizzi/seekpath
| ファイル名 | サイズ | |||
|---|---|---|---|---|
| ファイル名 |
FORCES_FC3.xz
application/x-xz |
サイズ | 46.7MB | 詳細 |
| ファイル名 |
LTC-calc.log
text/x-log |
サイズ | 668KB | 詳細 |
| ファイル名 |
phono3py_mlp_eval_fc3_disp.yaml.xz
application/x-xz |
サイズ | 70.5KB | 詳細 |
| ファイル名 |
phonopy_mlp_eval_fc2_dataset.yaml.xz
application/x-xz |
サイズ | 4.61MB | 詳細 |
| ファイル名 |
phonopy_training_dataset.yaml.xz
application/x-xz |
サイズ | 684KB | 詳細 |
| ファイル名 |
polymlp.yaml.xz
application/x-xz |
サイズ | 931KB | 詳細 |
| ファイル名 |
vasp-settings.tar.xz
application/x-xz |
サイズ | 564バイト | 詳細 |
| ファイル名 |
band_pdos.png
(サムネイル)
image/png |
サイズ | 67KB | 詳細 |